الجزائر - Enseignement Fondamental Moyen

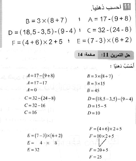
حل التمرين 11 صفحة 14 رياضيات السنة الثانية متوسط



حل التمرين 11 صفحة 14 رياضيات السنة الثانية متوسط


السنة الثانية متوسط: حلول تمارين الكتاب المدرسي لمادة الرياضيات الجيل الثاني: أنشطة عددية: العمليات على الأعداد الطبيعية والأعداد العشرية

سيظهر تعليقك على هذه الصفحة بعد موافقة المشرف.
هذا النمودج ليس مخصص لبعث رسالة شخصية لأين كان بل فضاء للنقاش و تبادل الآراء في إحترام
الاسم و اللقب :
البريد الالكتروني : *
المدينة : *
البلد : *
المهنة :
الرسالة : *
(الحقول المتبوعة بـ * إجبارية)